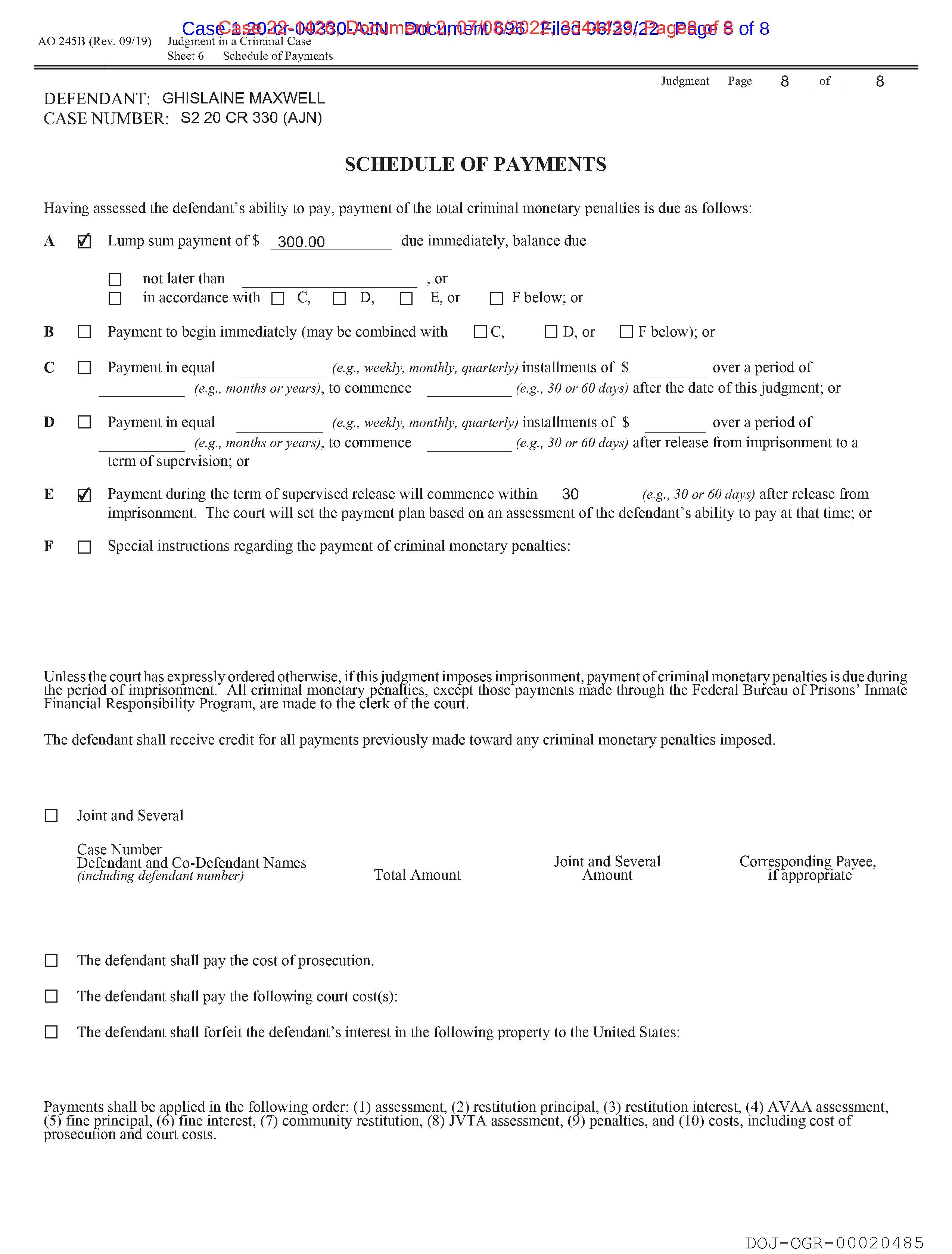
DOJ-OGR-00020485.jpg
Why This Matters
The image shows a document with various fields and checkboxes.
AI-Generated Summary
The image shows a document with various fields and checkboxes. At the top, there is text that appears to be a title or heading, but it's not fully legible due to the quality of the photo. Below the heading, there are lines for information such as name, date of birth, email address, and phone number, which are typically used for registration purposes. There are also checkboxes next to statements like "I agree to receive email updates" and "I accept the terms of use." At the bottom right, there is a signature line with the heading "Signature of Applicant" followed by another line labeled "Date." The document has a faded appearance, suggesting it may be an older or printed copy rather than being viewed on a screen.
Document Preview
Related Documents
EFTA00032998-p-2.jpg
The image shows a handwritten letter on white paper, with visible ink strokes indicating the writing style is cursive. The top right corner of the page contains a small stamp or seal that resembles an emblem, though its details are not clearly legible due to the size and resolution of the image. Below the central text of the letter, there is a signature in black ink, suggesting it is from the author of the letter. The handwriting appears neat but with some variations in pen pressure that give the impression of a natural writing style rather than formal script. There are no visible texts providing additional context or content within the image.
EFTA00009116-p-074.jpg
The image is a black and white copy of what appears to be an interview transcript. At the top right corner, there's a handwritten note that reads "Exhibit 31" with a number next to it which seems to indicate its place in a larger document set. Below this heading is a list of numbers from 1 to 29, presumably referring to questions or points discussed during an interview. The text within the image is too small and blurry to read clearly.
EFTA00009116-p-047.jpg
The image appears to be a document with printed text on it. The top of the document is slightly cut off, but it seems to have a heading labeled "Page 15" followed by "CONCLUSION." Below this heading, there are lines of text that appear to be numbered points, suggesting a list or a summary of arguments or findings. Some words and phrases like "not possible for us to conclude" can be discerned from the visible text, but the complete context is not clear due to the cut-off at the top. The paper has an aged look with slightly yellowed edges, indicating it might be an older document. There are no images of people or locations present in this particular image; it's purely textual information.
EFTA00009116-p-033.jpg
The image shows a piece of paper with handwritten notes and text. It appears to be an official document, possibly related to legal proceedings given the context of questions and responses. The top right corner contains numbers "1-25" followed by a question number "1". Below that, there's a series of questions or prompts with spaces for answers, some of which have been filled out with handwritten text. The document has several lines crossed out with a single line, indicating deletion or correction. The background is white and the handwriting varies in size and style, suggesting multiple authors or different levels of emphasis. It's a black and white image, and there are no images or graphics other than the textual content on the paper.
EFTA00009116-p-031.jpg
The image appears to be a scanned copy of a document with handwritten notes and corrections. The top part has "Questionnaire for Review" written on it in bold letters. Below this heading is a list numbered from one to fifteen, which seems to be a series of questions or prompts. Each number is followed by a line of text that appears to be a question or statement related to an investigation or review process. The style of the document suggests it might be used for gathering information or responses during an interview or inquiry.
