DOJ-OGR-00021932.jpg
DOJ-OGR-00021932.jpg
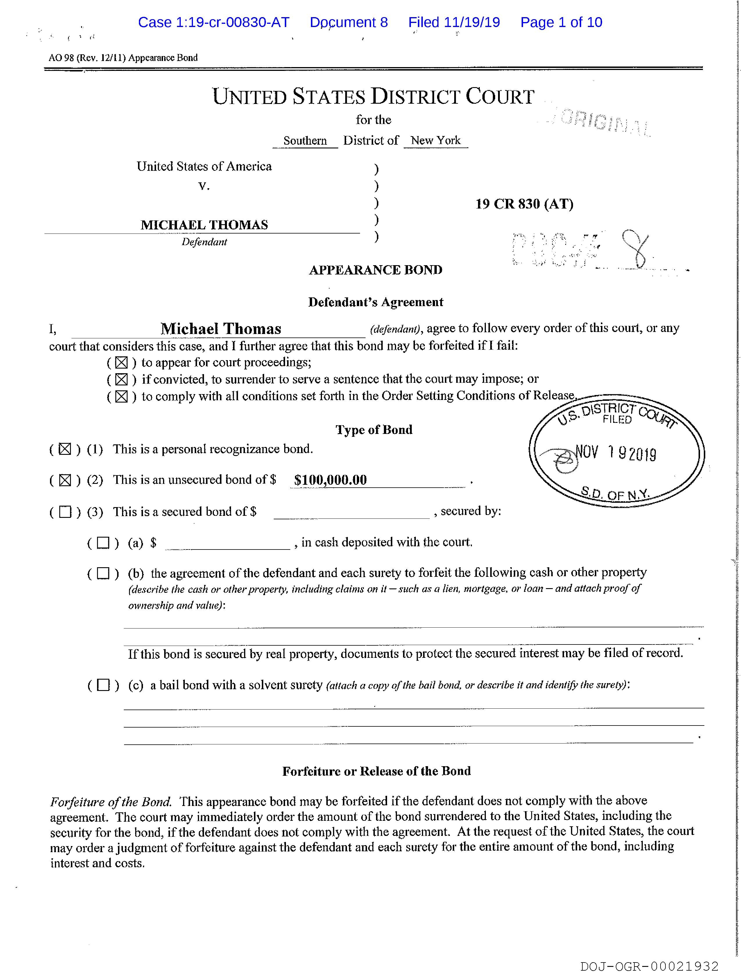
Why This Matters
The image is a blurred photograph of a document titled "U.
AI-Generated Summary
The image is a blurred photograph of a document titled "U.S. District Court" with various forms and text that are not legible due to the image's low resolution. The content appears to be official court documents, but specific details such as names or case numbers are obscured. There are visible checkboxes and handwritten marks on the document, indicating some interaction with the form. The overall quality of the image does not allow for a clear reading of any text or discernment of the document's content beyond its general appearance as a legal form from a court proceeding.
Document Preview
Related Documents
EFTA00025010-p-1.jpg
The image appears to be a photograph of a printed document from the Federal Bureau of Investigation (FBI). The top part of the document shows the FBI's official seal and logo. The document is partially redacted with black lines covering certain information, including names or other sensitive details that would typically identify individuals involved in an investigation. The visible text includes dates and references to legal proceedings such as "Case Number" and a court citation. There are also instructions for handling the document, indicating it is a restricted piece of evidence related to an ongoing case.
EFTA00020517-p-3.jpg
The image displays a scanned document with visible text and some blacked-out sections. The text appears to be from an official letter or report, possibly related to a legal case given the references to "Judge" and "Courtroom." There are also mentions of names that have been redacted. However, without more context, it's not possible to determine the exact nature of the document. The text is printed in black ink on a white background, indicating a standard typewritten format.
EFTA00009116-p-086.jpg
The image is a scanned document with handwritten notes on it. The top of the page has a header that reads "PAGE #28" and below this are what appear to be numbers written in blue ink: "17," "104," "130," "154," "191," "196," "203." There's also a section with the title "PITFALLS IN THE COURTROOM" followed by bullet points and handwritten notes in black ink, addressing various aspects of trial preparation and strategies, such as dealing with difficult questions, handling objections, and planning for cross-examination. The document looks like it could be related to law or legal studies, given the context provided.
EFTA00009116-p-082.jpg
The image appears to be a photograph of a piece of paper with printed text, possibly an article or document related to the law field. The text is too small and blurry to read in detail, but it includes headings such as "Q&A" and mentions topics like "court proceedings," "lawyers," and "prosecution." The paper has been crumpled and shows some signs of wear, indicating that it might have been handled roughly or used for a purpose other than its original intended use.
EFTA00009116-p-078.jpg
The image is a grayscale photocopy of a document with handwritten notes and annotations. The document appears to be an official letter or report, possibly related to legal proceedings given the context of phrases like "Motion for Extension of Time" and references to case numbers and filings. The text includes numbered paragraphs (1-26) and is dense with information, discussing various points that seem to pertain to a specific court proceeding. There's a handwritten note in one section pointing out something as "Interesting." The bottom part of the document has additional notes written across it. The writing is legible but not entirely clear due to the angle and quality of the photocopy. The style of the image suggests it is meant for informational or historical purposes, capturing a moment in time related to legal proceedings or documentation.
