DOJ-OGR-00021947.jpg
Why This Matters
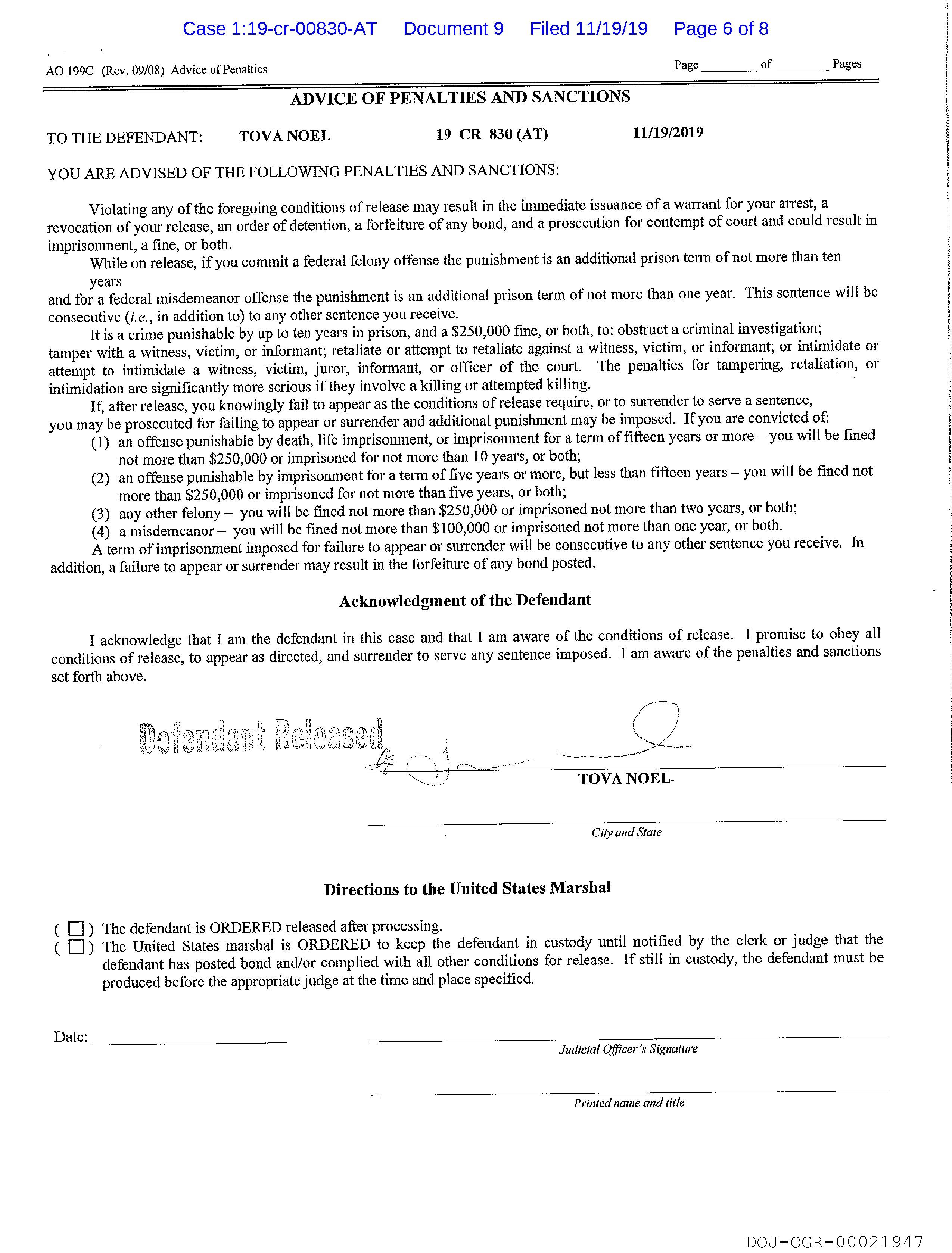
The image is a scanned document with a faded appearance due to the quality of the scan.
AI-Generated Summary
The image is a scanned document with a faded appearance due to the quality of the scan. At the top, there's printed text that seems to be part of an official title, but it's cut off and not fully legible. Below this, there are three paragraphs of text which likely contain important information or instructions, possibly related to legal proceedings or governmental matters. Due to the quality of the image, reading the specific details is difficult. The document has a structured layout typical of formal paperwork with columns and lines separating sections. There's also some visible handwriting at the bottom right corner, but it's not clear what it says as it's partially obscured by the edge of the page.
Document Preview
Related Documents
EFTA00032998-p-2.jpg
The image shows a handwritten letter on white paper, with visible ink strokes indicating the writing style is cursive. The top right corner of the page contains a small stamp or seal that resembles an emblem, though its details are not clearly legible due to the size and resolution of the image. Below the central text of the letter, there is a signature in black ink, suggesting it is from the author of the letter. The handwriting appears neat but with some variations in pen pressure that give the impression of a natural writing style rather than formal script. There are no visible texts providing additional context or content within the image.
EFTA00009116-p-103.jpg
The image is a black and white photograph of a handwritten page with visible writing on it. The page contains text written in ink, which appears to be notes from an interview or meeting. Due to the resolution and angle, the content of the text is not entirely legible, but there are sections labeled "Q" and "A" indicating questions and answers. The style of handwriting suggests a cursive script with some variations in size and form, typical of informal note-taking. There is no indication of who wrote the notes or what specific interview it pertains to.
EFTA00009116-p-101.jpg
The image is a faded photocopy of handwritten notes arranged on lined paper. The notes are structured into numbered points and questions with answers provided. The content appears to be related to public relations or media responses, as evidenced by phrases like "how the incident was handled" and "public perception." Due to the quality of the image, some text is difficult to read, but it seems that the writer has addressed several concerns and prepared responses for them. There are no people, locations, or significant objects other than the paper with handwritten notes.
EFTA00009116-p-074.jpg
The image is a black and white copy of what appears to be an interview transcript. At the top right corner, there's a handwritten note that reads "Exhibit 31" with a number next to it which seems to indicate its place in a larger document set. Below this heading is a list of numbers from 1 to 29, presumably referring to questions or points discussed during an interview. The text within the image is too small and blurry to read clearly.
EFTA00009116-p-071.jpg
The image is a scanned document with handwritten notes on lined paper. The document contains numerous lines of text, some of which are crossed out by what appears to be red pen markings. Due to the resolution and angle, specific details such as names or other identifiable information in the text are not clearly legible. There seems to be no visible images of people or locations within this particular image, and it does not show any significant objects apart from the lined paper with handwritten notes.
