DOJ-OGR-00022219.jpg
DOJ-OGR-00022219.jpg
Why This Matters
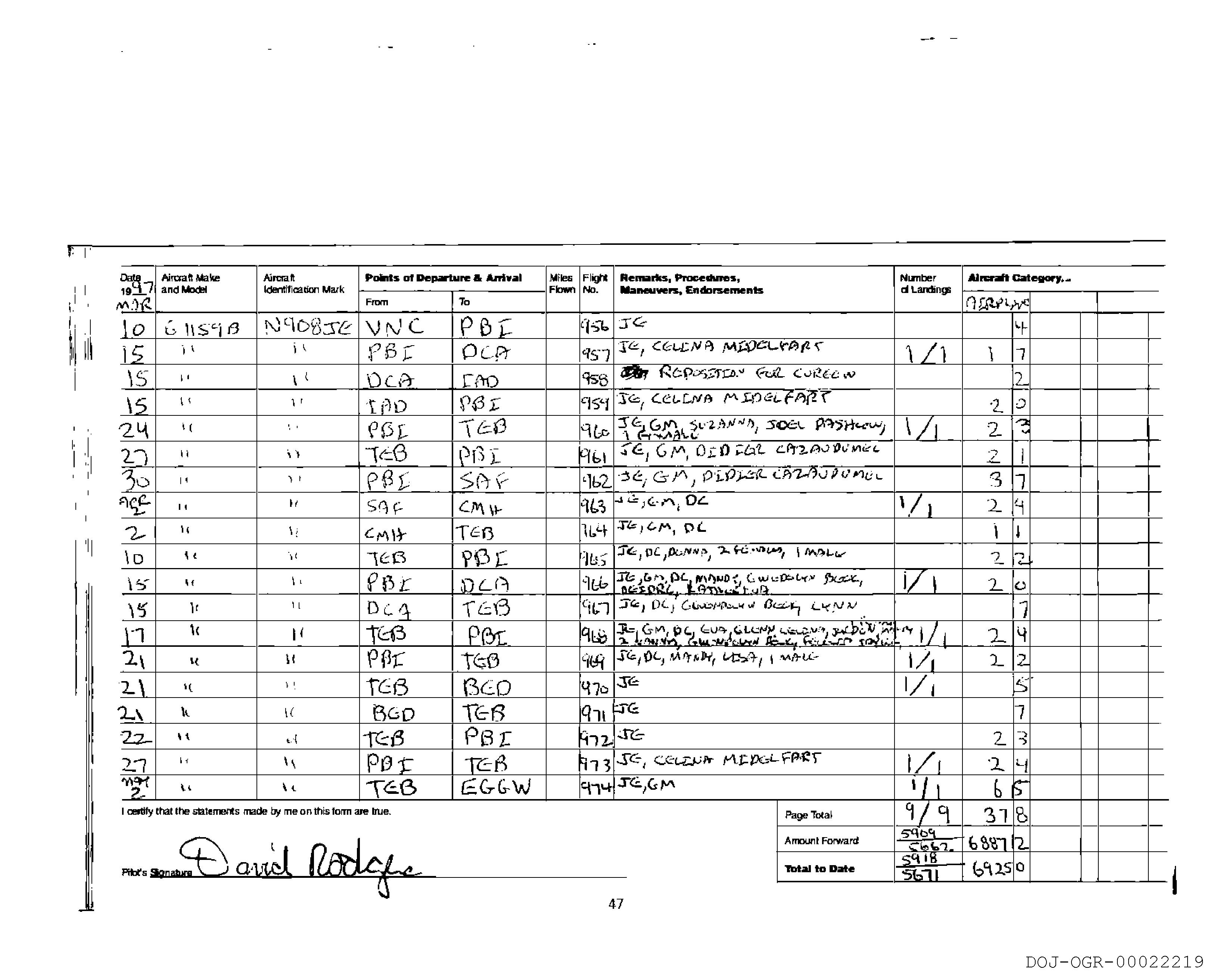
The image is a close-up of a document with handwritten text and numerical values on lined paper.
AI-Generated Summary
The image is a close-up of a document with handwritten text and numerical values on lined paper. The writing appears to be organized into columns with labels such as "Date" and various amounts in dollars and cents. There are notes written next to some entries, possibly explaining or clarifying the figures. At the top right corner of the image, there's a signature, but it's not clear enough to identify who signed it. The document looks like it could be part of financial records or inventory logs.
Document Preview
Related Documents
EFTA00008920-p-65.jpg
The image appears to be a scanned document with visible handwriting and typed text on it. At the top of the page, there's a section labeled "Date" followed by numbers "01/25/97," indicating that the date is January 25, 1997. The handwriting seems to be in black ink and includes words like "Yes," "No," "Yes," and "No," suggesting a pattern of questioning or answering. There's also typed text with lines drawn through some portions of it, which makes it difficult to read the full content. Additionally, there are various numbers such as "20," "15," "10," and "8," but without more context, their significance is unclear. The page has a yellowish hue, typical for aged paper or photocopied documents.
EFTA00008920-p-25.jpg
The image shows a document with handwritten notes and typed text. The handwriting is somewhat difficult to decipher due to its slanted and somewhat hurried appearance. The document includes a section number at the top ("1052"), followed by several lines of text that are mostly obscured or partially erased. Some visible words suggest a discussion about legal issues or testimony in court, possibly related to an investigation involving a named individual who appears to be mentioned multiple times throughout the document. There is also a question posed at the bottom with two parts: "Did you ever see him on this date?" followed by another line that is not fully visible. The word "date" is repeated in both instances, suggesting context related to dates of events or encounters referenced in the notes. The document has an official appearance, likely pertaining to legal proceedings or investigative matters, as indicated by the use of terms like "investigation" and "testimony." The image itself is of a physical paper with visible creases and shadows that suggest it may have been handled or viewed closely by various individuals before being photographed.
EFTA00008892-p-22.jpg
The image appears to be a digital capture of an official document, possibly from a legal proceeding given the context. The main focus is on a section that includes handwritten annotations in red ink. These annotations are primarily corrections and notes, likely made by someone reviewing the document. The text is partially visible and seems to include phrases such as "Deposition Date" and "Redacted for Privacy." There's also a reference to "Court Order No. 15-CV-2467" indicating that this document might be related to case number 15-CV-2467 in court proceedings. The style of the image suggests it has been scanned or photographed and shared through an electronic medium, given the slight blurriness and shadows around the edges, which are common with digital captures rather than printed documents.
EFTA00008863-p-5.jpg
The image is a screenshot of a presentation slide titled "January 2007 Flights" with red annotations highlighting certain parts. The slide includes a table with columns labeled "Date," "From City," "To City," "Airline," and "Passenger(s)" followed by rows with flight information that has been partially obscured due to the redaction of sensitive data. Some text and numbers are visible in these redacted fields, but specific details such as names and flight information are not disclosed. The presentation slide is designed for a formal or professional setting, likely related to travel history or itinerary planning.
EFTA00008744-p-086.jpg
The image appears to be a scanned copy of an official document, possibly from a court or government office. The document contains a table with columns titled "Case Number", "Date Filed", and other information that is typically associated with legal proceedings. There are multiple rows within the table, each representing a case or matter with details such as the type of action (e.g., "Civil Petition"), nature of suit (e.g., "Trespass"), and the names of parties involved in the litigation. The document is marked with stamps, indicating it has been processed or reviewed by a court clerk. Additionally, there are handwritten marks over some information, which could suggest corrections or annotations made by an individual handling the document.
